航空發動機壓氣機轉子葉片工作溫度高、受力工況復雜、服役環境惡劣,工作時主要受離心力、氣動力、熱應力、交變力等多種負荷,對材料的疲勞性能要求較高。此類葉片往往型面復雜,具有較大的曲率半徑和扭轉角度,是典型的復雜薄壁異形零件[1-2],對成形尺寸精度要求高,生產工藝路線長,制造難度大[3]。航空發動機壓氣機葉片的制備技術先后經歷了純機加工、普通模鍛、半精鍛到精鍛的發展歷程[4]。
精鍛技術是在普通模鍛技術的基礎上發展起來的一種精密成形技術,可使葉身精確成形[5],葉身型面和緣板內側無須加工,這在很大程度上減少了機械加工量[6],該技術被喻為“綠色制造”。經統計,全球采用該方法生產的航空發動機葉片已占到生產總量的80%左右[7-8]。經過精鍛成形后,葉片尺寸精度高、內部組織均勻,其抗疲勞性及使用壽命顯著提高[9],因此,精鍛技術已成為航空發動機葉片制造的主流工藝。

航空發動機葉片材料的發展趨勢是高性能化(如輕質、高強、高模、抗氧化等)和低成本化[10]。先進航空發動機技術的進步推動了高溫合金的快速發展[11],高溫合金具有較好的熱強性、抗腐蝕性和長時組織穩定性[12],已成為航空發動機壓氣機葉片的主要選材[13-15]。GH4169是目前航空發動機上用量最大的變形高溫合金,它主要由δ相、γ″相、γ′相及碳化物強化而成[16],具有良好的高溫強度、耐蝕性能、熱加工性能及焊接性能,被廣泛用于制備變形渦輪盤、軸、環、機匣、葉片及緊固件等零件[17-18]。目前,有關GH4169合金用于制備盤軸類大型鍛件的研究較多,主要集中在鍛造溫度、應變速率、熱處理以及析出相分析等方面[19-20]。隨著航空發動機推力的增大,對葉片的性能要求也逐漸提高,要求葉片鍛件流線不能外露,普通模鍛技術難以滿足該要求,從而助推了葉片精鍛技術的發展[21]。葉片精鍛成形工藝可保持金屬流線連續,增加了葉片的強度和承載能力、提高了葉片的性能,同時由于加工量少,從而節約了材料,解決了復雜薄型葉片難加工的困難[22]。本文主要以航空發動機高壓壓氣機第7級轉子葉片為研究對象,采用精鍛成形工藝,對鍛造過程中出現的葉片腐蝕條帶組織進行研究,揭示了腐蝕條帶的形成原因并提出了預防措施,以期為后續GH4169合金精鍛葉片的制造提供工程支撐。
1、試驗
試驗用原材料為直徑20mm的國產GH4169高溫合金棒材。壓氣機第7級轉子葉片經過擠壓、鐓頭、預鍛和終鍛4步主要工序制備而成,主要成形方式如下:采用連續回轉爐對坯料加熱到1020~1060℃,保溫一段時間后,在400~1000t的電動螺旋壓力機上成形。終鍛葉片在真空爐中進行熱處理,經固溶熱處理(950~965℃保溫1h)+時效熱處理(720℃保溫8h,爐冷至620℃保溫8h)后,采用Kalling試劑(100mLHCl+100mL酒精+50gCuCl2)進行葉片鍛件表面腐蝕,發現葉片榫頭部位有如圖1a所示的
腐蝕條帶,條帶寬約1mm、長約10mm,呈弧形,進一步檢查發現,該條帶部位呈現混晶組織,由拉長晶粒和細小晶粒混合組成,平均晶粒度比葉根其他部位的晶粒度更細,如圖1b—c所示。通過與葉片成品模型對比分析可知,該部位的腐蝕條帶無法通過后續機加工完全去除,殘留的條帶組織會造成葉片組織不合格,如圖1d所示。通過對葉片緣板轉接R處進行顯微組織觀察發現,沿輪廓外形的鍛造組織具有明顯的流線特征,該部位也呈現出拉長晶粒和細小晶粒組成的混晶組織形貌,如圖1e—f所示,但轉接R處未形成明顯的條帶組織,且其高倍組織符合相關標準要求。

葉片榫頭處條帶組織由拉長晶粒和細小再結晶晶粒組成,細小再結晶晶粒占比50%以上,再結晶晶粒尺寸通常因變形量大或變形溫度低而較小,而拉長晶粒表明此處累積的變形量不足以完成全部再結晶,或者因變形溫度較低而難以實現完全再結晶。隨后隨機解剖了同批次多件葉片,均出現了類似問題,說明該問題的產生是批次性、通用性的,擬從原材料及鍛造工藝角度入手進行原因排查分析。
2、結果與分析
2.1葉片鍛件用原材料
在前期某批次GH4169合金壓氣機轉子葉片精鍛過程中,進行葉片縱向低倍檢查時發現,葉根榫頭中心區域和葉身均有光亮線顯示,壓氣機轉子葉片縱向低倍條帶組織如圖2所示,壓氣機轉子葉片縱向高倍條帶組織如圖3所示,高倍組織顯示,亮條處存在析出相偏聚。對葉片榫頭條帶區域內的析出相和基體在掃描電鏡下進行能譜分析,結果如圖4和表1所示,據文獻[17]可知,δ相具有正交有序結構,其化學式為Ni3Nb,晶格常數a=0.3624nm、b=0.4251nm、c=0.7406nm,根據表1中析出相的成分可以判定析出相為δ相,即葉片析出相偏聚條帶為δ相條帶。




進一步對鍛件用原材料開展試驗驗證,選取原材料經直接固溶+時效熱處理、1050℃保溫15min后再進行固溶+時效熱處理,最后觀察金相組織(主要目的是讓原材料經歷葉片鍛造的熱過程)。原材料經直接固溶+時效熱處理后的晶粒組織為10級左右,整個截面分布有多條δ相條帶,如圖5所示。葉片鍛件用原材料經1050℃保溫15min后再進行固溶+時效熱處理,其顯微組織如圖6所示,可以看到,仍有輕微δ相條帶未完全溶解,晶粒組織在5.5級左右。

由上述試驗可知,原材料中存在δ相偏聚是葉片鍛件出現條帶組織的一個原因,故在葉片鍛造之前需對原材料做好檢測驗收,避免存在δ相偏聚的問題。
第1章提到的壓氣機第7級轉子葉片鍛件用原材料經固溶+時效處理后的顯微組織如圖7所示,未發現原材料存在δ相偏聚的異常現象,故此次產生腐蝕條帶的原因與原材料無關。
2.2葉片鍛造成形工藝分析
壓氣機第7級轉子葉片鍛件采用傳統的四火成形方案,即擠壓、鐓頭、預鍛、終鍛。經復查,擠壓、鐓頭以及預鍛工序均采用前期鍛造葉片的通用制坯模,為了匹配成品葉片造型,對終鍛工序的模具進行了特殊設計。但此批葉片根部造型與前期葉片造型存在較大差異,如圖8所示,葉根榫頭尺寸沿盆背、進排氣側方向均有減小,而在實際生產時未考慮最終葉片造型的尺寸差異而采用了通用制坯模。通用制坯模和葉片成品造型不匹配,導致葉片終鍛時榫頭部位金屬余量較多,過多的金屬向后定位凸臺處流動,造成較大的應變梯度,最終形成了低倍異常條帶組織。

根據鍛造工藝進一步開展變形量計算,葉片為三維不對稱形貌,如圖9所示,上下模分模面將葉根緣板及榫頭區域分為4部分,分別用1、2、3、4代表對應的區域,分別用V1、V2、V3、V4代表每個區域的變形體積,用預鍛件和終鍛件相對應的體積來表征變形量的大小。

此批葉片鍛件采用通用制坯模和終鍛模2套模具,2套模具成形得出的葉根盆弧側與葉根背弧側的變形體積比分別為1.3和1.4,如式(1)所示。

式中:V1p、V2p、V3p、V4p分別為預鍛件1—4區的變形體積;V1f、V2f、V3f、V4f分別為終鍛件1—4區的變形體積。
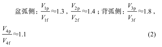
以上數據說明,盆弧側與背弧側的總體金屬余量合適,變形量相對均勻,可滿足產品設計要求,但4個部分對應的單獨變形體積比卻存在較大差異,尤其背弧側預鍛件與終鍛件的變形體積比最大約為1.8、最小卻為1.1,如式(2)所示。

以上數據表明,盆弧側葉根緣板部分和葉根榫頭部分的金屬余量合適,金屬流動正常,變形均勻,但背弧側葉根榫頭部分(3區)金屬余量明顯偏大,變形量偏大,而葉根緣板部分4區的金屬余量偏小,變形量偏小,這樣會導致3區有過多的金屬流進4區,金屬跨區域異常流動,變形量分布不均勻并超出正常允許范圍。通過模鍛成形數值模擬發現,榫頭部位變形不均勻,存在變形死區,而部分區域的變形又較大,兩者之間存在應變落差較大的區域,該區域與條帶組織存在高度的一致性,如圖10所示。鍛造過程的仿真和熱模擬技術可較好地選出合理的溫度場、等效應力等工藝參數,從而有效避免鍛造缺陷的產生[23]。

Chen等[24]對馬氏體不銹鋼渦輪葉片的鍛造過程進行了仿真模擬,分析了變形、溫度、晶粒尺寸等的變化規律,得出了復雜鍛件的最佳熱鍛工藝。Kocanda等[25]分析了渦輪葉片熱鍛模擬成形規律,揭示了模具型腔定位及鍛造變形量對金屬流動及模具側向力分布的影響。楊舜等[26]在葉片精鍛過程中采用數值模擬方法獲得了葉片從加壓到卸載整個過程的全部數值解,得出精鍛過程中任意時刻的溫度場、應力–應變分布、微觀組織演變規律及卸載后的殘余應力和殘余應變分布,還通過分析模具應力分布、鍛造載荷及變形功等進行了葉片模具模型設計和修正。因此,在制定葉片鍛造方案過程中采用數值模擬方法是確保產品合理成形的有效途徑。通過仿真模擬及成形分析,基本可確定此批葉片出現腐蝕條帶的主要原因為預鍛與終鍛變形量不匹配,進而造成葉片榫頭局部應變落差大而形成剪切帶。
2.3預防措施與驗證
為了優化鍛造工藝,結合葉片成品造型重新設計了一套預鍛模具,使預鍛件和終鍛件盆弧側、背弧側的變形體積比保持在1.3~1.4,盆弧側1、2區的變形體積比保持在1.1~1.2,背弧側3、4區的變形體積比保持在1.2~1.3,確保榫頭部位金屬余量適宜、變形均勻,如式(3)—(4)所示。

優化預鍛模后再看葉根榫頭處的等效應變,發現應變條帶趨勢得到明顯改善,如圖11a所示。采用同爐批原材料進行了一輪葉片鍛造工藝驗證,葉片鍛件低倍組織得到明顯改善,葉根榫頭低倍腐蝕條帶消失,如圖11b所示,從而驗證了形成腐蝕條帶組織是因為鍛造成形方案不合理。

3、結論
1)原材料存在δ相偏聚是GH4169合金精鍛葉片存在腐蝕條帶的原因之一,在鍛造前需對原材料嚴格做好檢測驗收。
2)鍛造成形工藝設計不合理將導致GH4169高溫合金精鍛葉片產生腐蝕條帶組織,在鍛造成形過程中應確保葉片預鍛模和終鍛模變形相匹配,避免榫頭區域出現變形不均勻、產生應變差。
3)結合數值模擬優化鍛造工藝,使葉片預鍛件和終鍛件上下模具盆弧側、背弧側的變形體積比保持在1.1~1.4,這樣可使鍛造變形均勻、生產出低倍組織滿足要求的合格葉片。
4)在制定高溫合金葉片精鍛成形方案時,應采用數值模擬技術進行工藝驗證與優化,以便準確設定成形工藝參數,確保葉片鍛件的組織和性能合格。
參考文獻:
[1]張凱堯. 航空發動機精鍛葉片銑削工裝結構分析與優化設計[D]. 煙臺: 煙臺大學, 2020: 10-14.
ZHANG Kai-yao. Structural Analysis and Optimal De-sign of Milling Fixture for Aeroengine Precision Forg-ing Blades[D]. Yantai: Yantai University, 2020: 10-14.
[2]高松, 李深亮. 航空發動機精鍛葉片數字化數控加工技術[J]. 科技創新與應用, 2019(10): 132-133.
GAO Song, LI Shen-liang. Digital Numerical Control Machining Technology for Precision Forged Blade of Aeroengine[J]. Technology Innovation Application,2019(10): 132-133.
[3]金辰懷. 應用電感檢測技術評價精鍛葉片彎扭角[J].中國機械, 2022(7): 48-51.
JIN Chen-huai. The Inductance Detection Technique is Used to Evaluate the Bending and Twisting Angle of Precision Forged Blade[J]. Machine China, 2022(7):48-51.
[4]吳捍疆. 葉片精鍛成形過程的金屬流動及殘余應力研究[D]. 洛陽: 河南科技大學, 2020: 13-14.
WU Han-jiang. Study on Metal Flow and Residual Stress in Blade Precision Forging[D]. Luoyang: Henan University of Science and Technology, 2020: 13-14.
[5]張凱堯, 孟慶恒, 馬瑞, 等. 影響航空發動機精鍛葉片切削力的工藝分析[J]. 制造技術與機床, 2020(9): 35-39.
ZHANG Kai-yao, MENG Qing-heng, MA Rui, et al.Research on Crafts Analysis of Cutting Forces Affecting Marginless Precision Forging Blades[J]. Manufacturing Technology & Machine Tool, 2020(9): 35-39.
[6]楊根, 張立昌, 林何, 等. 航空葉片精鍛模具設計與數控加工[J]. 機床與液壓, 2020, 48(15): 109-113.
YANG Gen, ZHANG Li-chang, LIN He, et al. Design and NC Machining of Precision Forging Die of Aviation Blade[J]. Hydromechatronics Engineering, 2020, 48(15):109-113.
[7]袁飛, 呂彥明, 胡學超, 等. 汽輪機葉片精鍛模具預補償方法研究[J]. 現代制造工程, 2020(5): 113-118.
YUAN Fei, LYU Yan-ming, HU Xue-chao, et al. Re-search on Pre-compensation Method of Steam Turbine Blade Precision Forging Die[J]. Modern Manufacturing Engineering, 2020(5): 113-118.
[8]邵勇, 陸彬, 陳軍, 等. 精鍛葉片模具三維型面優化技術[J]. 上海交通大學學報, 2012, 46(10): 1616-1621.
SHAO Yong, LU Bin, CHEN Jun, et al. 3D Die Shape Optimization Technology for Net-Shape Forging of Aerofoil Blade[J]. Medical Bulletin of Shanghai Jiaotong University, 2012, 46(10): 1616-1621.
[9]鄢天燦. 航空葉片精鍛成形工藝分析及協同優化方法研究[D]. 貴陽: 貴州大學, 2021: 14-15.
YAN Tian-can. Process Analysis and Collaborative Op-timization of Precision Forging for Aircraft Blades[D].Guiyang: Guizhou University, 2021: 14-15.
[10] 關紅, 崔樹森, 汪大成. 高溫合金葉片精密成形技術研究[J]. 材料科學與工藝, 2013, 21(4): 143-148.
GUAN Hong, CUI Shu-sen, WANG Da-cheng. The Study of High Temperature Alloy Vane Precision Forming Technology[J]. Materials Science and Tech-nology, 2013, 21(4): 143-148.
[11] CHOUDHURY I A, EIBARADIE M A. Machinability of Nickel-base Super Alloys: a General Review[J].Journal of Materials Processing Technology, 1998,77(1/2/3): 278-284.
[12] 劉衛, 郝恒恒, 許安寧. GH4169 合金低倍暗色缺陷分析與研究[J]. 金屬加工(熱加工), 2022(5): 30-31.
LIU Wei, HAO Heng-heng, XU An-ning. Analysis and Study of Low Power Dark Color Defects of GH4169 alloy[J]. Metal Working, 2022(5): 30-31.
[13] 余江山. 高溫合金葉片精鍛成形研究[D]. 沈陽: 沈陽理工大學, 2008: 12-13.
YU Jiang-shan. Research on Precision Forging of Su-peralloy Blade[D]. Shenyang: Shenyang Ligong Uni-versity, 2008: 12-13.
[14] 齊歡. INCONEL 718(GH4169)高溫合金的發展與工藝[J]. 材料工程, 2012(8): 92-100.
QI Huan. Review of INCONEL 718 Alloy: Its History,Properties, Processing and Developing Substitutes[J].Journal of Materials Engineering, 2012(8): 92-100.
[15] 張利沖, 許文勇, 李周, 等. 鎳基高溫合金 GH4169 粉末表面氧化特性[J]. 航空材料學報, 2020(40): 1-7.
ZHANG Li-chong, XU Wen-yong, LI Zhou, et al. Sur-face Oxidation Characteristics of Nickel-base Superal-loy GH4169 Powder[J]. Journal of Aeronautical Materi-als, 2020(40): 1-7.
[16] 王春光, 王東哲, 萬紅, 等. 鍛造及熱處理工藝對GH4169 合 金 組 織 與 性 能 的 影 響 [J]. 鍛 壓 技 術 ,2004(14): 16-18.
WANG Chun-guang, WANG Dong-zhe, WAN Hong, et al. Influence of Forging and Heat Treatment on Struc-ture and Property of GH4169 Alloy[J]. Forging &Stamping Technology, 2004(14): 16-18.
[17] 莊景云. 變形高溫合金 GH4169 鍛造工藝[M]. 北京:冶金工業出版社, 2006: 90-95.
ZHUANG Jing-yun. Forging Process of Deformed Su-peralloy GH4169[M]. Beijing: Metallurgical Industry Press, 2006: 90-95.
[18] 董建新. INCONEL718 高溫合金的發展[J]. 兵器材料科學與工程, 1996, 19(2): 46-50.
DONG Jian-xin. Development of INCONEL 718 Super-alloy[J]. Ordnance Material Science and Engineering,1996, 19(2): 46-50.
[19] COZAR R, PINEAU A. Morphology of γ ′and γ″ Pre-cipitates and Thermal Stability of Inconel 718 Type Al-loys[J]. Metallurgical Transactions, 1973, 4(1): 47-59.
[20] 謝錫善, 董建新, 付書紅, 等. γ″和 γ′相強化的 Ni-Fe基高溫合金 GH4169 的研究與發展[J]. 金屬學報,2010, 46(11): 1289-1302.
XIE Xi-shan, DONG Jian-xin, FU Shu-hong, et al. Re-search and Development of γ″ and γ′ Strengthened Ni-Fe Base Superalloy GH4169[J]. Acta Metallurgica Sinica, 2010, 46(11): 1289-1302.
[21] 詹梅, 劉郁麗, 楊合. 航空葉片的精鍛工藝與模擬技術[J]. 重型機械, 1999(6): 1-3.
ZHAN Mei, LIU Yu-li, YANG He. Precise Forging Process and Simulation Technology for Aeronautical Blade[J]. Heavy Machinery, 1999(6): 1-3.
[22] 鐘杰, 胡楚江, 郭成. 葉片精密鍛造技術的發展現狀及其展望[J]. 鍛壓技術, 2008, 33(1): 1-5.
ZHONG Jie, HU Chu-jiang, GUO Cheng. Development Status and Prospects of Blade Precision Forging Tech-nology[J]. Forging & Stamping Technology, 2008,33(1): 1-5.
[23] 李娜, 尹喜剛, 劉靜, 等. 鍛造仿真與熱模擬技術在航空發動機葉片精密鍛造中的應用[J]. 航空制造技術,2018, 61(15): 59-62.
LI Na, YIN Xi-gang, LIU Jing, et al. Application of Forging Simulation and Thermal Simulation Technology in Precision Forging of Aero-Engine Blade[J]. Aeronau-tical Manufacturing Technology, 2018, 61(15): 59-62.
[24] CHEN F, REN F, CHEN J, et al. Microstructural Mod-eling and Numerical Simulation of Multi-physical Fields for Martensitic Stainless Steel during Hot Forging
Process of Turbine Blade[J]. The International Journal of Advanced Manufacturing Technology, 2016, 82(1):85-98.
[25] KOCANDA A, CZYZEWSKI P, MEHDI K H. Nu-merical Analysis of Lateral Forces in a Die for Turbine Blade Forging[J]. Archives of Civil & Mechanical En-gineering, 2009, 9(4): 49-54.
[26] 楊舜, 李宏, 劉印剛, 等. 葉片精密鍛造過程數值模擬技術研究進展[J]. 精密成形工程, 2015, 7(6): 44-51.
YANG Shun, LI Hong, LIU Yin-gang, et al. A Review on the Numerical Simulation Technology of Aerofoil Blade Precision Forging Process[J]. Journal of Netshape Forming Engineering, 2015, 7(6): 44-51.
相關鏈接